1°,2°,3°,4°,5°6°7°8°
Решење:
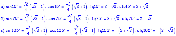
Пријавите се да бисте видели поступак...
Страна 1 од 6
Ко је на мрежи: 325 гостију и 24 чланова