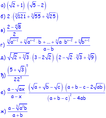
Пријавите се да бисте видели поступак...
Решење:
Страна 1 од 5
Ко је на мрежи: 268 гостију и 29 чланова