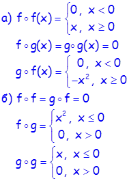
Сложена функција. Инверзна функција
Нека је
. Тада је сложена функција
дефинисана као
за свако
и тада је
.
Ако је
бијективна („1-1“ и „на“) функција тада је инверзна функција за
функција
таква да за свако
важи
и за свако
важи
. Графици узајамно инверзних функција симетрични су међусобно у односу на симетралу првог и трећег квадранта.




