Прираштај функције. Појам извода функције
Прираштај функције
Нека је
непрекидна крива у равни
произвољна фиксирана тачка на тој кривој
и још једна тачка те криве различита од
. Прираштај независно променљиве је број
,
а прираштај функције
у тачки
је број
.
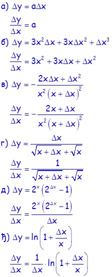
Први извод
Први извод
функције
у тачки
је (коначна) гранична вредност![]()
Брзина кретања материјалне тачке
Брзина кретања материјалне тачке која се креће по правој по закону
у тренутку
је![]()




