Примене извода. Испитивање тока функције
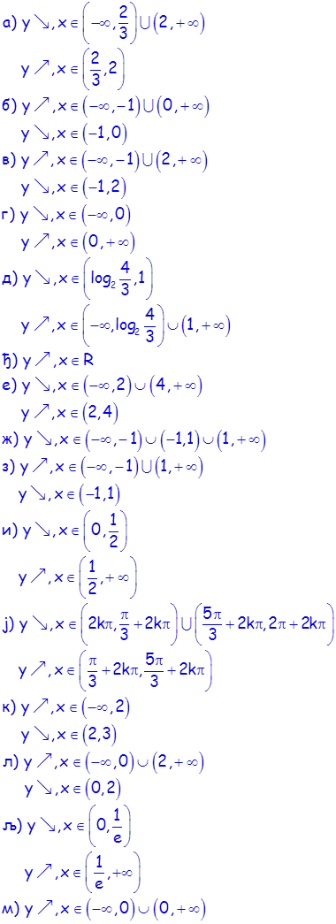
Монотоност фунције
Нека је
диференцијабилна фунција у
. Функција
у интервалу
је растућа (опадајућа) ако и само ако је
за све
.
Екстремне вредности фунције
Неопходан услов за постојање локалног екстрема.
Извод функције
у тачки
, у којој је функција
диференцијабилна, једнак је нули.
Довољан услов за постојање локалног екстрема.
1° Нека функција
има у тачки
први извод који је једнак нули и нека у тој тачки има други извод
. Тада, ако је
, функција
има у
тачку строгог локалног екстрема максимума (минимума).
2° Нека је
непрекидна функција, диференцијабилна у некој околини тачке
, осим, можда, у
. Ако
мења знак када
пролази кроз
тада је
тачка строгог локалног екстремума. Ако је
за
и
за
, тада је
тачка локалног минимума, а ако је
за
, а
за
, тада је
тачка локалног максимума.
Конвексност и конкавност
Нека функција
има у свакој тачки
други извод. Функција
је конвексна (конкавна) на
ако и само ако је
за све
.
Превојне тачке
Нека је функција
диференцијабилна у некој околини тачке
и има други извод у тој околини, осим, можда, у тачки
. Ако
мења знак при пролазу аргумента кроз тачку
, онда је
превојна тачка криве
.




