тражи...
Претрага
Почетна
Математика
Back
Математика I
Back
Математика I (Вене)
Математика I (Вене) (2024)
Математика I (Круг)
Математика I (Круг) (2021)
Математика II
Back
Математика II (Вене)
Математика II (Круг)
Математика II (Круг) (2021)
Математика III
Back
Математика III (Вене)
Математика III (Круг)
Математика III (Круг) (2021)
Математика IV
Back
Математика IV (Вене)
Математика IV (Круг)
Математика IV (Круг) (2022)
Физика
Back
Физика I
Back
Физика I (Круг)
Физика I (Круг) (2017)
Физика I (Круг) (2021)
Физика II
Back
Физика II (Круг)
Физика III
Back
Физика III (Круг)
Физика III (Круг) (2021)
Физика IV
Back
Физика IV (Круг)
Физика IV (Круг) (2022)
Грчки алфабет
СИ систем
СИ префикс
Учлани се
Back
Упутство за приступање
Приступница
Висина чланарине
Подршка
Back
Бесплатни примери
Питања и одговори
Контакт
Улогуј се
Ви сте овде:
Почетна
Математика
Математика III
Математика III (Круг)
Системи линеарних једначина
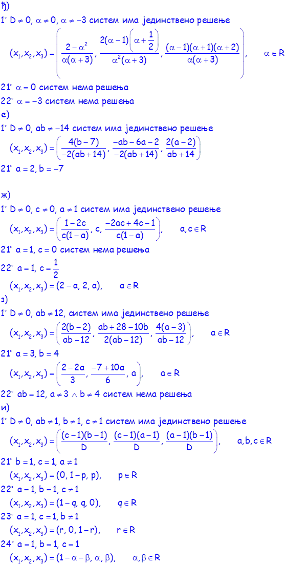
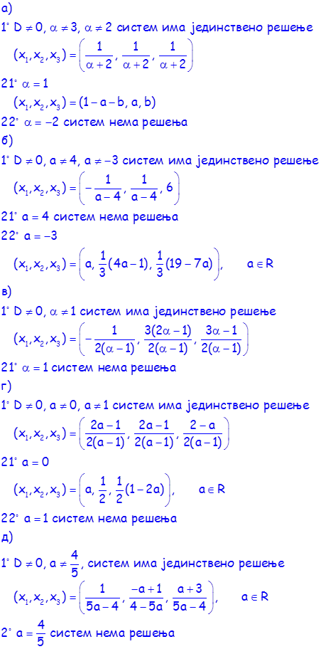
Задатак 533.
Задатак 533.
Решење:
Поступак:
Ко је на мрежи: 321 гостију и 30 чланова