Тригонометријски облик комплексног броја. Моаврова формула. Кореновање комплексних бројева
Нека је
комплексан број различит од нуле. Он се може приказати у тригонометријском облику
, где је
- модул комплексног броја, а угао
- аргумент. Угао
одређен је условима
Овим условима угао
једнозначно је одређен и означава се са
. Уместо услова
понекад се захтева да
задовољава услов
. Ако одустанемо од једнозначне одређености угла
, тј. решавамо систем једначина
![]()
онда су сва решења облика
. Ова фамилија углова означава се са
и обично се пише (мада не и сасвим прецизно):
.
Ако се за
узме да припада интервалу
и ако је
, из горњег система једначина налази се да је
. Одавде је
само ако је
у првом квадранту, тј. само ако је
и
. У општем случају, формула гласи
Из практичних разлога, ако тачка
није евидентно у првом квадранту, за одређивање
најбоље је решавати систем
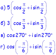
. Нека су дати комплексни бројеви
и
. Тада је:
1.
.
2.
.
3. Моаврова формула:
.
4. Нека је
. Сва решења једначине
(има их тачно
) су
-ти корени из комплексног броја
и под
подразумева се скуп вредности
, где је





