Решење: 
Поступак:
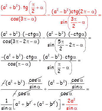
а)
б)
Објашњење: ![]()
Пази! Какав је знак
у
квадранту? Одговор је:
у
квадранту је
(негативан је). Зато иде минус испред
.
в)
квадрант;

квадрант;
квадрант;![]()
г)
д)
ђ)
е)
ж)
з)
и)
ј)
к) 
л)
Решење: 
Поступак:
а)
б)
Објашњење: ![]()
Пази! Какав је знак
у
квадранту? Одговор је:
у
квадранту је
(негативан је). Зато иде минус испред
.
в)
квадрант;

квадрант;
квадрант;![]()
г)
д)
ђ)
е)
ж)
з)
и)
ј)
к) 
л)
Ко је на мрежи: 325 гостију и 24 чланова