Операције са рационалним алгебарским изразима
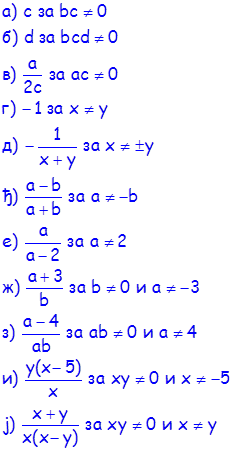
Средити рационални алгебарски израз значи довести га на облик
, где су полиноми
и
узајамно прости. При томе се, између осталог, користе правила (
су алгебарски изрази):

Средити рационални алгебарски израз значи довести га на облик
, где су полиноми
и
узајамно прости. При томе се, између осталог, користе правила (
су алгебарски изрази):

Ко је на мрежи: 376 гостију и 24 чланова